China's research team has once again taken an important step forward in the development of a new coronavirus vaccine.
On the evening of May 22, the academic journal The Lancet published online a new coronavirus vaccine developed by the team of Chen Wei, an academician of the Chinese Academy of Engineering.
The results showed that the vaccine had a good safety profile and successfully produced antibodies in the volunteers.
At the same time, the authors note that while the trial results show good promise for the vaccine, further validation of the vaccine's effectiveness is needed and it is too early to talk about a vaccine on the market.
Notably, this is the first human clinical data result of a novel coronavirus vaccine in China and the first human clinical trial paper of a novel coronavirus vaccine in the world.
Academician Chen Wei, who was in charge of the study, said.
"The trial showed that a single dose of the new adenovirus novel coronavirus vaccine could produce virus-specific antibodies and T cells within 14 days, making it possible for further research."
"However, these results should be interpreted with caution, the challenges of developing a novel coronavirus vaccine are unprecedented, and the ability to trigger these immune responses does not necessarily indicate that the vaccine will protect humans from the novel coronavirus, a result that only shows promise but is a long way from being available to all."
Preliminary confirmation of safety and effectiveness
The development of an effective vaccine is seen as a long-term solution to control novel coronaviruses. Currently, more than 100 candidate COVID-19 vaccines are under development worldwide.
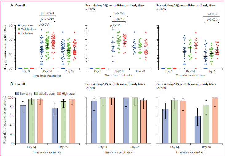
According to the paper, the study was an open-label trial in 108 healthy adults evaluating a novel coronavirus vaccine with adenovirus Ad5 as the vector: a rapid, specific T-cell response was found beginning on day 14 after vaccination, and the humoral immune response to SARS-CoV-2 peaked on day 28, with no serious adverse events detected.
Between March 16 and March 27, 2020, the study team screened 195 volunteers, of whom 108 (51% male, 49% female; mean age 36.3 years) were recruited and assigned to three dose groups - low (5 x 1010), medium (1 x 1011), and high (1.5 x 1011).
Within 28 days of vaccination, the researchers evaluated the safety and efficacy of the vaccine, which included:
- Adverse events occurring seven days after vaccination.
- Determination of specific antibodies by ELISA.
- Detection of post-vaccination induction of neutralizing antibody responses by SARS-CoV-2 virus and its pseudovirus neutralization assays.
- Enzyme-linked immune spotting and flow cytometry were used to detect the immune response of T cells.
It was found that adverse reactions were reported throughout the first 7 days after vaccination, with 30 (83%) in the low-dose group, 30 (83%) in the medium-dose group and 27 (75%) in the high-dose group.
The most common injection site adverse reaction was pain, with 58 cases reported by vaccinators; the most common systemic adverse reactions were fever (50 cases [46%]), fatigue (47 cases [44%]), headache (42 cases [39%]) and muscle pain (18 cases [17%]).
The severity of most of the adverse events reported in all dose groups was mild or moderate, and no serious adverse events were observed for 28 days after vaccination; ELISA antibodies and neutralizing antibodies increased significantly and peaked at day 14 and 28 days after vaccination (humoral immunity); specific T cell response peaked at day 14 after vaccination (cellular immunity).
That is, the novel coronavirus vaccine with adenovirus Ad5 as vector showed good tolerance in phase I clinical trials and produced an immune response against the novel coronavirus (SARS-CoV-2) in the human body. Specifically, however, the final results of this study will be evaluated on an ongoing basis over a six-month period, and further trials are still needed to determine whether the immune response can effectively prevent SARS-CoV-2 infection.
However, despite multiple trials, volunteers showed some immune response to the novel adenovirus (common cold virus carrier/vector) vaccine, and both antibody and T-cell responses could be reduced.
But Chen Wei's team noted that 44%-56% of the volunteers who participated in the study had high levels of pre-existing immunity (the original immunity was very strong, not related to the vaccine).
And the antibodies and T-cell responses to the vaccine are weak. This result is therefore of a reference nature and requires further large-scale experiments and in-depth analytical judgment.
Therefore, this preliminary result does not mean that the Ad5-nCoV vaccine has been able to produce an effective immune response that shields people from the virus, but rather that it is able to stimulate the human immune system and produce an initial immune response.
And its greatest value is to prove that this vaccine is worth continuing to be developed into subsequent Phase 2-3 clinical trials to fully test whether it is safe, has a protective effect, and can ultimately be used in humans.
But in any case, it is indeed heartening news.
Chen Wei: Trial results should be interpreted with caution
This result quickly caused a stir in the industry. Richard Horton, editor-in-chief of The Lancet, raved on social media that the first human experiments found it to be safe and well-tolerated, and to induce a rapid immune response. "These results represent an important milestone,"
The Lancet also said via its official tweet that the first phase 1 clinical trial of the COVID-19 vaccine is safe and well-tolerated and produces an immune response against SARS-CoV-2 in the body.
The trial, an open-label trial in 108 healthy adults, showed promising results after 28 days, with the final results to be evaluated over a six-month period. However, further trials are needed to determine whether the immune response is effective in preventing SARS-CoV-2 infection.
Netizens have also sent their best wishes for the success of the vaccine!
But as Academician Chen Wei said, "The results of these trials should be interpreted with caution. The challenge of developing a novel coronavirus vaccine is unprecedented; even if the vaccine has the ability to trigger the aforementioned immune response, it does not necessarily mean that this vaccine will help people protect against the novel coronavirus."
According to the Beijing Daily, the Phase II human clinical trial of the vaccine was launched on April 12, and it was the only new coronavirus vaccine in the world to enter Phase II clinical trials.
On April 25, Academician Chen Wei revealed at the "National Children's Vaccination Day themed live event" that 508 volunteers of Phase II clinical trial of the new coronavirus vaccine had already been injected and were under observation, and if all went well, the results of the double-blind test would be announced in May.
Although the results of this trial do not yet fully demonstrate the success of the vaccine, it is a critical step in its development, and we look forward to more good news to follow and an early end to the novel coronavirus outbreak.
Special Report: Fighting The New Coronavirus



