People with blood type A are more likely to be infected with the new coronavirus, and the relative risk of blood type O is lower. This is the latest study on new coronaviruses jointly conducted by eight research institutes in China.
This is also the conclusion of the first study of new coronavirus infections since the outbreak of the epidemic. It may open a new window to more comprehensively unveiling the topic of new coronavirus infections and more effective prevention and treatment.
The research team members are from Southern University of Science and Technology, Shanghai Jiaotong University, East China Normal University, Shenzhen Third People's Hospital (Second Affiliated Hospital of Southern University of Science and Technology), Wuhan Jinyintan Hospital, Wuhan University People's Hospital, Chinese Academy of Medical Sciences Fuwai Hospital, Wuhan University South Central Hospital and other institutions.
The paper has been published online on the preprinted platform medRxiv.
This study mainly explored the relationship between ABO blood type and COVID-19 infection susceptibility:
The ABO group of 3,694 normal people in Wuhan showed A, B, AB, and O, and their distributions corresponded to 32.16%, 24.90%, 9.10%, and 33.84%, respectively. Among 1775 COVID-19 patients from Wuhan Jinyintan Hospital The corresponding distributions of A, B, AB and O blood groups were 37.75%, 26.42%, 10.03% and 25.80%.
So the preliminary analysis concluded that:
Compared with normal subjects, the proportions of A and O blood in COVID-19 patients were significantly increased and decreased, respectively (all P <0.001). A similar pattern of ABO distribution was observed in 398 patients at two other hospitals in Wuhan and Shenzhen.
To be more straightforward, people with blood type A have a significantly higher risk of acquiring COVID-19 compared to non-A blood types, while people with blood type O have a lower risk of infection.
High percentage of patients with type A blood and low type O blood
How does this conclusion come about? Let's first look at the experimental data.
The data consists of three parts:
- ABO blood samples from 1,775 SARS-CoV-2 infected patients from the Jinyintan Hospital of Wuhan City, including 206 deaths.
- ABO blood samples from 113 COVID-19 patients from the People's Hospital of Wuhan University, Hubei Province.
- ABO blood samples from 285 COVID-19 patients from the Third People's Hospital of Shenzhen City, Guangdong Province.
For comparison, the researchers also collected blood group distribution data from 3694 normal people in Wuhan and 23386 normal people in Shenzhen.
The methods used for statistical analysis were one-way ANOVA and 2-tailed chi-square test.
The authors also used a random effect model (REM) to perform a meta-analysis of data from different hospitals with a 95% confidence interval and calculated OR values.
First, among 3694 normal people in Wuhan, the distribution ratios of blood types A, B, AB, and O were 32.16%, 24.90%, 9.10%, and 33.84%, respectively.
Among 1775 patients with new-type coronavirus pneumonia in Wuhan Jinyintan Hospital, the proportions were 37.75%, 26.42%, 10.03%, and 25.80% (P <0.001).
From this point of view, the proportion of patients with type A blood was higher than the normal population, the former was 37.75%, and the latter was 32.16%.
The proportion of patients with type O blood was significantly lower than the normal population, with the former being 25.80% and the latter being 33.84%.
In terms of OR values, blood type A was 1.279 (95% confidence interval 1.136-1.440) and blood type O was 0.680 (95% confidence interval 0.599-0.771).
In addition, in the statistical results of 206 dead patients, the proportions of blood types A, B, AB and O accounted for 41.26%, 24.27%, 9.22%, and 25.24%, respectively, showing similar distributions of high-risk and low-risk blood types.
Similar results also appeared in the blood group analysis of 113 patients from Wuhan University People's Hospital.
The results were: 39.82%, 22.12%, 13.3%, 24.78%.
However, the research team also specifically stated that the correlation of this set of data did not reach statistical significance due to the small sample size.
The Third People's Hospital of Shenzhen also conducted relevant statistics.
In Shenzhen, 23,386 normal people had blood type A, blood type B, blood type AB, and blood type O distribution ratios of 28.77%, 25.14%, 7.32%, and 38.77%.
Among the patient samples from Shenzhen Third People's Hospital, this proportion was: 28.77%, 29.12%, 13.68%, and 28.42%.
Similarly, the risk of infection with blood type O was significantly reduced (OR = 0.627). But this set of data shows an increased risk of infection with blood type AB (OR = 2.008).
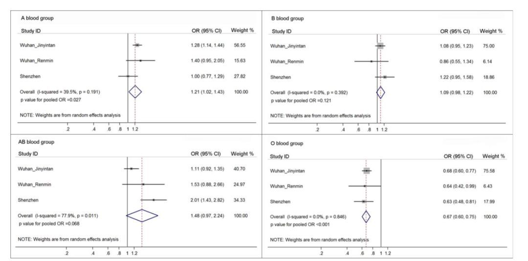
△ Meta-analysis of risk of ABO blood group COVID-19 in three hospitals
The figure above shows the aggregated data of the three hospitals through a random effects model.
The results show again that the risk of COVID-19 infection in blood group A is higher than that in non-A blood group (OR = 1.21, 95% CI 1.02-1.43, P = 0.027), and the risk of infection in blood group O is significantly reduced (OR = 0.67, 95% CI is 0.60-0.75, P <0.001).
It still needs to be explained that according to strict statistical methods, the results of type AB blood and type B blood have not reached statistical significance, and whether they are susceptible to COVID-19 has not yet reached a clear conclusion.
In addition, the statistical results show that the distribution of ABO blood types does not change much between different age groups and different genders.
In other words, age and gender have nothing to do with susceptibility to COVID-19.
Blood group also shows different sensitivity to other coronaviruses
In fact, earlier, for other types of coronavirus, there were also blood group-related studies, and similar conclusions were reached.
For example, previous research from Yufeng Chen et al. Of the Chinese University of Hong Kong showed that the susceptibility of Hong Kong SARS-CoV virus can be distinguished by the ABO blood group system.
Studies have found that medical staff with type O blood have a lower chance of infection than medical staff with type O blood.
In addition, research from Patrice et al. Of the University of Nantes also found that anti-A antibodies specifically inhibit the adhesion of cells expressing SARS-CoV S protein to cell lines expressing ACE2.
Based on the above work, the researchers stated that in view of the similarity of nucleic acid sequences between SARS-CoV and SARS-CoV-2, and the similarity of ACE2 binding, the sensitivity of blood types O and A to COVID-19 can be linked stand up.
Of course, the author also stated that this hypothesis needs direct research to prove it.
There may be other mechanisms for the susceptibility of ABO blood group to COVID-19, which needs further research to clarify.
Even so, this study has some clinical guiding significance:
People with type A blood may need special personal protection to reduce the chance of infection.
Patients with blood type A who are infected with SARS-CoV-2 may need to receive more vigilant surveillance and active treatment;
The introduction of ABO blood group tests in patients and health care workers as a routine part of SARS-CoV-2 and other coronavirus infection management may help define management options and assess people's risk exposure levels.
Joint research by 8 research institutes
A total of 8 scientific research institutions participated in this research, namely Southern University of Science and Technology, Shenzhen Third People's Hospital (Second Affiliated Hospital of Southern University of Science and Technology), Wuhan Jinyintan Hospital, Wuhan University People's Hospital, Chinese Academy of Medical Sciences Fuwai Hospital , East China Normal University, Zhongnan Hospital of Wuhan University, and Shanghai Jiaotong University.
There are 6 corresponding authors of theses, all of which are important in their respective fields.
Xing Mingzhao is the first Dean and Chair Professor of Medical School of Southern University of Science and Technology. He graduated from the Department of Medicine of Shanghai Second Military Medical University in 1984 and received a PhD in physiology and biophysics from Case Western Reserve University in 1993. Former professor of lifelong medicine at Hopkins University School of Medicine.
Wang Peng, Director and Chair Professor of Scientific Research Office, School of Medicine, Southern University of Science and Technology. He graduated from Nankai University in 1984 and received his PhD in organic/bioorganic chemistry from UC Berkeley. He once taught at Wayne State University, Ohio State University, Georgia State University and other universities.
Yang Guangyu is a researcher at the School of Life Science and Technology of Shanghai Jiaotong University. He graduated from the College of Life Sciences, Jilin University in 2003, majored in biological sciences; in the same year, he entered the Key Laboratory of Molecular Enzyme Engineering of the Ministry of Education of Jilin University to start a master's and doctoral program. PhD in Biochemistry and Molecular Biology in June 2009.
Wang Xinghuan, President of Central South Hospital of Wuhan University. After taking over Thunder Mountain Hospital from Central South Hospital, he also served as the director of Thunder Mountain Hospital.
Zhang Li, from the Department of Infectious Diseases, Wuhan Jinyintan Hospital.
Xiao-Yang Zhao, from the People's Hospital of Wuhan University.
Full paper: https://www.medrxiv.org/content/10.1101/2020.03.11.20031096v1
Special Report: Fighting The New Coronavirus


