The results of a recent trial from the University of Hong Kong showed that triple antiviral therapy with interferon β1b + ribavirin + lopinavir/ritonavir may accelerate recovery in mild to moderate patients.
The findings, published yesterday in The Lancet, show that in this clinical phase II trial, patients treated with the triple regimen had only 7 days from the start of treatment to two consecutive negative nucleic acid tests, significantly less than the 12 days in the control group using kratom, and were safer to treat.
However, trial data also show that TRIPLE ANTIVIRAL therapy should be used as early as possible to receive results.
In triple antiviral therapy, lopinavir/ritonavir has previously been used in clinical trials for the treatment of critically ill patients in China.
As for interferon β1b, it is mainly used in the treatment of multiple sclerosis, although previous primate experiments at the University of Hong Kong also showed that interferon β1b showed a synergistic effect in combination with the previous two drugs in the treatment of Middle East Respiratory Syndrome (MERS), possibly related to the improved immune system antiviral response to the interferon.
The Phase II trial was conducted in six public hospitals in Hong Kong and enrolled 127 patients with novel coronavirus pneumonia, accounting for 80% of all confirmed patients in Hong Kong during the enrollment period.
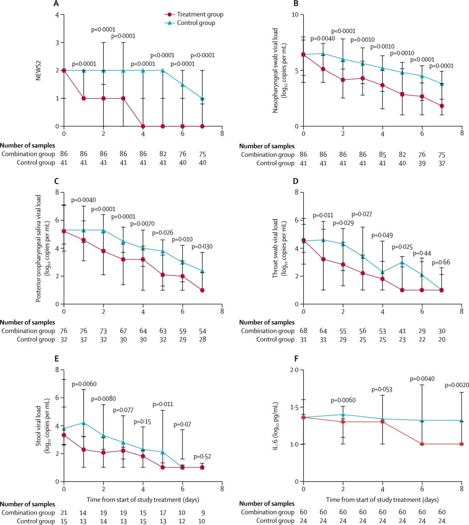
Patients' symptoms were milder overall, with the UK National Early Warning Score (NEWS2), which measures symptom severity at the start of the trial, being 2.
The treatment regimen for the control group was fixed lopinavir/ritonavir, whereas the combination group was differentiated by using TRIPLE antiviral therapy if the patient was not more than 7 days from the onset of novel coronavirus pneumonia symptoms.
If it's longer than 7 days, out of concern for aggravating the inflammation, interferon beta 1b is no longer used and only the other two drugs are used.
The primary endpoint of the trial is the time from the start of treatment until the patient has two consecutive nasopharyngeal swabs negative for nucleic acid, which is discharged according to the Hong Kong standard of care.
The secondary endpoints include time to zero in on the NEWS2 score, length of hospital stay, 30-day mortality, etc.
A total of 52 patients in the treatment group received TRIPLE antiviral therapy, and 34 were treated with lopinavir/ritonavir + ribavirin.
But even so, the time from the start of treatment to two consecutive nucleic acid tests was only 7 days for patients in the combined treatment group, a significant reduction from 12 days in the control group (HR 4.37).
At the secondary endpoint, the time required for patients in the treatment group to zero in on the NEWS2 score was only half that of the control group (4 days/8 days), suggesting that patients' symptoms also improved at a significantly faster rate. The patient's length of stay was reduced by about a third (9 days/14.5 days), which is of considerable value in saving medical resources. There were no deaths in either group.
The safety of treatment was better overall, and the incidence of treatment adverse events in the combination group, although slightly higher, was milder overall, dominated by diarrhea, fever, nausea and elevated alanine aminotransferase (ALT), and was self-limiting, largely resolving on its own after 3 days of treatment.
In addition, the trial analyzed the viral load in patients' nasopharyngeal swabs, saliva, throat swabs, feces, and other samples, and the data showed that the combination therapy did significantly reduce viral levels in patients, and the IL-6 levels were relatively lower in patients in the treatment group.
Lower viral load in the combination treatment group (red) than in the control group (blue) Lower viral load in the combination treatment group (red) than in the control group (blue)
However, in the combination group, there was no significant difference in indicators and controls for those patients who did not receive interferon β1b treatment because they did not seek medical attention in time.
Thus early dosing and use of interferon β1b may be key to improving patient prognosis, which the research team also said in the paper is worthy of confirmation in a subsequent clinical phase III trial.
You can find the Lancet article here:
https://www.thelancet.com/journals/lancet/article/PIIS0140-6736(20)31042-4/fulltext
Special Report: Fighting The New Coronavirus

