Can the new coronavirus spread through the eye and conjunctiva? On March 14, local time, bioRxiv, a bioscience preprinted platform, published a new study on this topic titled “Rhesus macaques can be effectively infected with S 1 ARS-CoV-2 via ocular conjunctival route.”
The Qinchuan team of the Institute of Medical Laboratory Animals, Chinese Academy of Medical Sciences has found for the first-time experimental evidence that new coronaviruses can be transmitted through the conjunctival pathway, that is, rhesus macaques can effectively infect new coronaviruses through the ocular conjunctival pathway.
This provides important theoretical support for virus prevention, especially for medical personnel.
Based on clinical symptoms, viral load testing, and serological examinations, the authors found that rhesus macaques can be infected with the new coronavirus through the conjunctival pathway, and that the virus will migrate from the conjunctiva to the respiratory tract and other tissues one day after infection.
The authors of the study are from the Institute of Medical Laboratory Animals, Chinese Academy of Medical Sciences and Beijing Anzhen Hospital, Capital Medical University. The corresponding author is Qin Chuan, director of the Institute of Medical Laboratory Animals, Chinese Academy of Medical Sciences, and special allowance expert of the State Council.
As an expert in comparative medicine and pathology, Qin Chuan was responsible for participating in the "establishment of animal models of SARS infection" in 2003. In addition, he led the team to conduct experiments on animal models of various infectious diseases.
The outbreak of COVID-19 is highly infectious. At present, it is generally believed that the new coronavirus is mainly transmitted through respiratory droplets or direct close contact between humans. However, other potential transmission routes remain to be further studied.
In previous clinical cases, conjunctivitis patients with SARS (Severe Acute Respiratory Syndrome) and COVID-19 had detected viral RNA in tears and conjunctival secretion samples.
Previously, Wang Guangfa, a member of the expert group of the National Health Commission and the director of the Department of Respiratory and Critical Care Medicine, Peking University First Hospital, went to work in Wuhan and was diagnosed with a new type of coronavirus infection. He also speculated that the route of his infection might be that the virus first entered the conjunctiva. And then to the whole body.
However, at the same time, research groups such as the Chen Changzheng team of the People's Hospital of Wuhan University have stated that new coronaviruses can be detected in the conjunctival sac of patients with new coronary pneumonia, but clinical analysis data do not support the transmission of new coronaviruses through the conjunctival route.
In the latest study, researchers inoculated half of the tissue culture infection dose (TCID50) of the new coronavirus agent to three rhesus macaques (rhesus macaques) aged 3 to 5 years.
Two of them were randomly selected for ocular conjunctival vaccination, and the other was administered by intratracheal injection to compare the virus distribution and pathogenesis in hosts infected with the new coronavirus through different routes.
Researchers only inoculate the virus to rhesus macaques through a single route to ensure their exact route of infection.
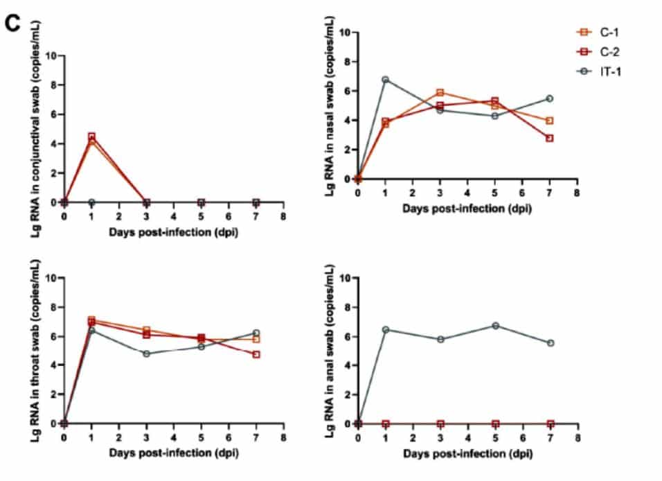
Researchers observed the clinical signs of rhesus macaques daily and found that there was no significant clinical change in the body weight and temperature of rhesus macaques infected with the virus through two routes. The research team collected routine specimens, including nasal and throat swabs, at 0, 1, 3, 5 and 7 days (dpi) after vaccination.
In addition, the research team also collected conjunctival swabs and anal swabs from rhesus macaques to explore potential ways to expel novel coronaviruses in the host.
It is worth noting that on day 1 after the inoculation, researchers were able to detect viral load in conjunctival swabs of rhesus macaques infected by the ocular conjunctival pathway, but then no longer detected the virus in the conjunctiva.
The research team believes that this means that the new coronavirus may be transferred from the conjunctiva to the respiratory tract and other tissues.
Viral loads were continuously detected in the nasal and throat swabs of the three rhesus macaques from 1 to 7 days after vaccination.
In addition, specific IgG antibodies against the new coronavirus could still be detected in both rhesus macaques 14 and 21 days after conjunctival vaccination with the new coronavirus, suggesting that they were indeed infected with the new coronavirus.
For anal swabs, although no viral load was detected in conjunctival virus-inoculated rhesus macaques, it was continuously detected in rhesus macaques’ samples inoculated by the intratracheal route.
Seven days after the virus inoculation, the researchers euthanized and performed an autopsy on the intratracheal rhesus macaques and one of the conjunctiva vaccinated rhesus macaques.
For conjunctival vaccination of rhesus macaques, the viral load is mainly distributed in the nasolacrimal duct system and the eye, including the lacrimal gland, optic nerve, and conjunctival nasal cavity; in the nose, including the nasal mucosa, turbinate, and nostril; in the throat, including the pharynx and soft palate Bone and trachea; oral cavity, including examination bags and parotid glands; and other tissues, including the left lower lobe of the lung, groin and pararectum (lymph nodes), stomach, duodenum, cecum and ileum.
Viral load of three conjunctival, nasal, laryngeal and anal swab specimens from three rhesus macaques inoculated with the virus at 0, 1, 3, 5 and 7 days after inoculation Two rhesus macaques, IT-1 is rhesus macaques inoculated intratracheally
In contrast, the distribution of viruses in rhesus macaques by intratracheal inoculation was different. Viral replication occurs mainly in the lungs, and viral load is also high in the nasal septum, trachea, mandibular lymph nodes, tonsils, pulmonary lymph nodes, and some segments of the digestive tract (including the cecum, colon, duodenum, and jejunum).
It is worth noting that researchers can detect the virus in different parts of the rhesus macaque’s digestive tract, suggesting that the digestive system may be vulnerable to the new coronavirus infection.
Compared with rhesus macaques inoculated by the intratracheal route, viral load and distribution in conjunctivally infected rhesus macaques are relatively high in the nasolacrimal system, but relatively light and local in the lung. However, both of these pathways can cause digestive tract infections.
The results of these experiments indicate that the conjunctiva is the gateway for transmission of the new coronavirus. Researchers were able to detect viral load in several related tissues of the nasolacrimal system, especially in the conjunctiva, lacrimal glands, nasal cavity, and throat, which serve as a "bridge" for viral movement between the eye and respiratory tissues.
It is worth noting that the lacrimal duct, as a conduit for collecting and transporting tear fluid from the surface of the eye to the lower nasal passage, also facilitates the drainage of the virus from the eye tissue to the respiratory tract tissue.
In fact, previous reports have shown that, although the conjunctiva, sclera, or cornea can absorb virus-containing fluids, most fluids, including tears and secretions, are expelled into the nasopharynx or swallowed. Lacrimal epithelium may also help with tear absorption.
The results are also highly consistent with the anatomical characteristics of the virus entering the host via the conjunctival pathway. Researchers said that people currently wear new masks to prevent new coronaviruses. This method protects the nasal and oral mucosa, but the conjunctiva exposed to the environment is easily ignored.
The results of this study indicate that exposed mucous membranes and unprotected eyes increase the risk of SARS or new coronavirus infections.
This means that, especially for clinicians, it is necessary to raise awareness of eye protection when contacting patients or in crowded places, and to wash your hands and wear protective glasses regularly in daily life.
The researchers wrote at the end of the article that only by cutting off all transmission methods of the new coronavirus can we effectively stop the transmission of COVID-19.
Special Report: Fighting The New Coronavirus

